Keyword: Cauchy分布, 疑似乱数ベクトル
概要
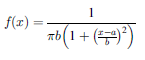
本サンプルはCauchy分布から疑似乱数ベクトルの生成を行うFortranによるサンプルプログラムです。 本サンプルは以下に示される確率密度関数をもつ、中央値(a)1.0で半四分位範囲(b)2.0のCauchy分布から5個の疑似乱数を生成し出力します。
※本サンプルはnAG Fortranライブラリに含まれるルーチン g05scf() のExampleコードです。本サンプル及びルーチンの詳細情報は g05scf のマニュアルページをご参照ください。
ご相談やお問い合わせはこちらまで
入力データ
(本ルーチンの詳細はg05scf のマニュアルページを参照)| このデータをダウンロード |
G05SCF Example Program Data 1 1 1762543 :: GENID,SUBID,SEED(1) 5 :: N 1.0 2.0 :: XMED,SEMIQR
- 1行目はタイトル行で読み飛ばされます。
- 2行目に使用する生成器(genid=1:nAG基本生成器)、生成器に関する情報(subid=1:GENIDが1の場合この値は参照されません)、生成器の初期値(seed=1762543)を指定しています。
- 3行目に生成される疑似乱数の数(n=5)を指定しています。
- 4行目に分布の平均(xmed=1.0)、半四分位範囲(semiqr=2.0)を指定しています。
出力結果
(本ルーチンの詳細はg05scf のマニュアルページを参照)- 3〜7行目に生成された疑似乱数が出力されています。
ソースコード
(本ルーチンの詳細はg05scf のマニュアルページを参照)
※本サンプルソースコードは科学技術・統計計算ライブラリである「nAG Fortranライブラリ」のルーチンを呼び出します。
サンプルのコンパイル及び実行方法
| このソースコードをダウンロード |
PROGRAM g05scfe
! G05SCF Example Program Text
! Mark 23 Release. nAG Copyright 2011.
! .. Use Statements ..
USE nag_library, ONLY : g05kff, g05scf, nag_wp
! .. Implicit None Statement ..
IMPLICIT NONE
! .. Parameters ..
INTEGER, PARAMETER :: lseed = 1, nin = 5, nout = 6
! .. Local Scalars ..
REAL (KIND=nag_wp) :: semiqr, xmed
INTEGER :: genid, ifail, lstate, n, subid
! .. Local Arrays ..
REAL (KIND=nag_wp), ALLOCATABLE :: x(:)
INTEGER :: seed(lseed)
INTEGER, ALLOCATABLE :: state(:)
! .. Executable Statements ..
WRITE (nout,*) 'G05SCF Example Program Results'
WRITE (nout,*)
! Skip heading in data file
READ (nin,*)
! Read in the base generator information and seed
READ (nin,*) genid, subid, seed(1)
! Initial call to initialiser to get size of STATE array
lstate = 0
ALLOCATE (state(lstate))
ifail = 0
CALL g05kff(genid,subid,seed,lseed,state,lstate,ifail)
! Reallocate STATE
DEALLOCATE (state)
ALLOCATE (state(lstate))
! Initialize the generator to a repeatable sequence
ifail = 0
CALL g05kff(genid,subid,seed,lseed,state,lstate,ifail)
! Read in sample size
READ (nin,*) n
ALLOCATE (x(n))
! Read in the distribution parameters
READ (nin,*) xmed, semiqr
! Generate the variates
ifail = 0
CALL g05scf(n,xmed,semiqr,state,x,ifail)
! Display the variates
WRITE (nout,99999) x(1:n)
99999 FORMAT (1X,F10.4)
END PROGRAM g05scfe
